杰瑞科技汇

fibonacci数列java

0, 1, 1, 2, 3, 5, 8, 13, 21, 34, ...

fibonacci数列java-图1
(图片来源网络,侵删)

下面我将为你展示几种不同的 Java 实现方法,并分析它们的优缺点。

递归实现

这是最直观、最容易理解的方法,因为它直接翻译了数学定义。

public class Fibonacci {
    /**
     * 使用递归计算斐波那契数列的第 n 项
     * @param n 要计算的项数(从 0 开始)
     * @return 第 n 项的值
     */
    public static long fibonacciRecursive(int n) {
        // 基本情况:第0项是0,第1项是1
        if (n <= 1) {
            return n;
        }
        // 递归情况:第n项 = 第n-1项 + 第n-2项
        return fibonacciRecursive(n - 1) + fibonacciRecursive(n - 2);
    }
    public static void main(String[] args) {
        int n = 10;
        System.out.println("使用递归方法计算第 " + n + " 项斐波那契数:");
        // 注意:对于较大的n,递归方法会非常慢,甚至导致栈溢出
        System.out.println("fib(" + n + ") = " + fibonacciRecursive(n)); 
    }
}

优点:

  • 代码简洁易懂:逻辑与数学定义完全一致,可读性非常高。

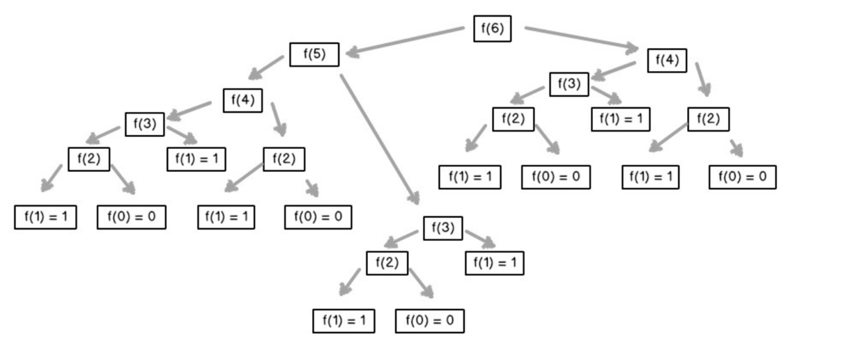
缺点:

fibonacci数列java-图2
(图片来源网络,侵删)
  • 性能极差:存在大量的重复计算,计算 fib(5) 时,fib(3) 会被计算两次,fib(2) 会被计算三次,时间复杂度是指数级的 O(2^n)。
  • 栈溢出风险:每次递归调用都会在调用栈上添加一个新的栈帧,当 n 很大时(例如超过 40),调用栈会变得非常深,最终导致 StackOverflowError

迭代实现(推荐)

这是在实际开发中最常用、最高效的方法,它通过循环和变量来保存中间结果,避免了重复计算。

public class Fibonacci {
    /**
     * 使用迭代(循环)计算斐波那契数列的第 n 项
     * @param n 要计算的项数(从 0 开始)
     * @return 第 n 项的值
     */
    public static long fibonacciIterative(int n) {
        // 处理 n=0 和 n=1 的情况
        if (n <= 1) {
            return n;
        }
        long a = 0; // 代表第 n-2 项
        long b = 1; // 代表第 n-1 项
        long c;     // 代表当前项
        // 从第 2 项开始循环,直到第 n 项
        for (int i = 2; i <= n; i++) {
            c = a + b; // 计算当前项
            a = b;     // 更新 a 为前一项的值
            b = c;     // 更新 b 为当前项的值
        }
        return b;
    }
    public static void main(String[] args) {
        int n = 50;
        System.out.println("使用迭代方法计算第 " + n + " 项斐波那契数:");
        // 迭代方法可以非常快速地计算出大数
        System.out.println("fib(" + n + ") = " + fibonacciIterative(n));
    }
}

优点:

  • 性能极高:时间复杂度是线性的 O(n),只进行一次循环。
  • 不会栈溢出:不使用递归,不会增加调用栈的深度,可以安全地计算非常大的 n(只要结果不超过 long 类型的范围)。

缺点:

  • 可读性稍差:相比递归,需要理解变量 a, b, c 是如何代表数列中前后项的。

使用动态规划(带备忘录的递归)

这种方法结合了递归的清晰性和迭代的效率,它用一个数组(或哈希表)来存储已经计算过的结果,避免重复计算。

fibonacci数列java-图3
(图片来源网络,侵删)
import java.util.Arrays;
public class Fibonacci {
    // 使用一个数组作为“备忘录”
    private static long[] memo;
    /**
     * 使用带备忘录的递归(动态规划)计算斐波那契数列的第 n 项
     * @param n 要计算的项数(从 0 开始)
     * @return 第 n 项的值
     */
    public static long fibonacciMemoized(int n) {
        memo = new long[n + 1]; // 创建备忘录数组
        Arrays.fill(memo, -1); // 初始化为 -1,表示未计算
        memo[0] = 0;
        if (n > 0) {
            memo[1] = 1;
        }
        return helper(n);
    }
    private static long helper(int n) {
        // 如果备忘录中已经有值,直接返回,避免重复计算
        if (memo[n] != -1) {
            return memo[n];
        }
        // 否则,进行计算并存入备忘录
        memo[n] = helper(n - 1) + helper(n - 2);
        return memo[n];
    }
    public static void main(String[] args) {
        int n = 50;
        System.out.println("使用带备忘录的递归方法计算第 " + n + " 项斐波那契数:");
        System.out.println("fib(" + n + ") = " + fibonacciMemoized(n));
    }
}

优点:

  • 性能高:时间复杂度也是 O(n),每个值只计算一次。
  • 保留递归结构:代码结构上更接近递归,对于某些问题比纯迭代更易于实现。

缺点:

  • 空间复杂度高:需要一个额外的数组来存储备忘录,空间复杂度为 O(n)。
  • 有递归的局限性:虽然避免了指数级的重复计算,但调用栈深度仍然是 O(n),对于极大的 n 仍有栈溢出的风险(比纯递归好很多,但不如迭代稳健)。

使用 Stream API (Java 8+)

这是一种非常现代和函数式的实现方式,代码非常简洁。

import java.util.stream.Stream;
public class Fibonacci {
    /**
     * 使用 Java 8 Stream API 生成斐波那契数列
     * @param n 要计算的项数(从 0 开始)
     * @return 第 n 项的值
     */
    public static long fibonacciStream(int n) {
        if (n < 0) {
            throw new IllegalArgumentException("n must be non-negative");
        }
        // 使用 iterate 生成无限流,然后截取前 n+1 项,最后获取第 n 项
        return Stream.iterate(new long[]{0, 1}, fib -> new long[]{fib[1], fib[0] + fib[1]})
                     .limit(n + 1)
                     .map(fib -> fib[0])
                     .reduce((a, b) -> b) // 或者 .skip(n).findFirst().get()
                     .orElse(0L);
    }
    public static void main(String[] args) {
        int n = 10;
        System.out.println("使用 Stream API 计算第 " + n + " 项斐波那契数:");
        System.out.println("fib(" + n + ") = " + fibonacciStream(n));
    }
}

优点:

  • 代码优雅、函数式:非常适合喜欢函数式编程风格的人。
  • 性能好:底层实现仍然是高效的迭代。

缺点:

  • 可读性可能较低:对于不熟悉 Stream API 的开发者来说,代码可能难以理解。

总结与建议

方法 时间复杂度 空间复杂度 优点 缺点 推荐场景
递归 O(2^n) O(n) 代码直观易懂 性能极差,易栈溢出 学术学习,理解递归概念
迭代 O(n) O(1) 性能最高,最稳健 代码稍显冗长 生产环境,绝大多数情况下的首选
动态规划 O(n) O(n) 结合递归清晰性和高性能 空间开销大,仍有栈溢出风险 复杂动态规划问题,需要递归结构
Stream API O(n) O(n) 代码优雅,函数式 可读性因人而异 现代Java项目,展示函数式编程能力

最终建议:

  • 如果你是初学者,先理解递归的原理,然后一定要掌握迭代方法。
  • 在实际项目或面试中迭代方法是最佳选择,因为它是最优的解决方案。
  • 如果你使用的是 Java 8 或更高版本,并且喜欢函数式编程风格,Stream API 是一个展示现代 Java 技巧的好方法。
分享:
扫描分享到社交APP
上一篇
下一篇